Минерально-сырьевые ресурсы азиатской части Российской Федерации во многом определяют современные экономические показатели страны, а вхождение России в международную систему оборота минеральных ресурсов ставит на повестку дня проблемы создания конкурентоспособной добывающей и перерабатывающей промышленности. Объемы минерально-сырьевой базы требуют комплексного подхода к решению сформулированной задачи, а перспективы ее решения в значительной степени определяются уровнем развития горного дела.
В работе приводятся результаты исследований, посвященных развитию горного дела и деятельности, являющейся основой этого развития, - высшего горного образования на Урале, в Сибири и на Дальнем Востоке Российской Федерации. Исследования проводились Учебно-методическим объединением (УМО) вузов РФ по образованию в области горного дела и Центром стратегических исследований Московского государственного горного университета. Результаты исследований в полном объеме были включены в доклад ректора МГГУ члена-корреспондента РАН Л. А. Пучкова на заседании Совета УМО по образованию в области горного дела, которое состоялось в Красноярске в Государственном университете цветных металлов и золота 6-8 июня 2005 г.
В исследованиях использованы данные отечественных и зарубежных публикаций, а также официальные данные Федеральной службы государственной статистики. Общая характеристика и потенциал минерально-сырьевого комплекса азиатской части Российской Федерации. Традиционно под горным делом понимают совокупность видов инженерной деятельности человека в земной коре. Это определение охватывает широкую сферу деятельности: добычу твердых полезных ископаемых, нефтегазовое дело, подземное строительство и т. д. В мировой практике полезные ископаемые и другие виды георесурсов классифицируются по сфере их применения, например, уголь, нефть, газ и уран относятся к классу энергетических минералов и т. п. На аналогичных принципах формируются многочисленные статистические исследования, отражающие деятельность человека в земной коре. Для характеристики некоторых аспектов состояния и развития горного дела в России и ее азиатской части используем подходы, принятые в мировой горной статистике.
Характер развития горного дела определяется количеством видов добываемых минеральных продуктов, объемами добычи, числом горных предприятий и занятых в производстве людей, стоимостью добываемых минеральных продуктов. Для более детальной картины можно привлечь еще целый ряд дополнительных параметров. В мировой практике, так же как и в российской, отсутствует методологическая и статистическая основа такой оценки. В глобальном аспекте важное значение имеют ответы на следующие вопросы: в каких странах, экономических сообществах, регионах мира и сколько добывается минеральных продуктов; каковы материальные потоки минерального сырья; насколько управляемой и устойчивой является система распределения минеральных продуктов.
Известно, что спектр добываемых минералов характеризует состояние развития горного дела, ибо почти каждый добываемый минерал имеет свою отличительную особенность в зависимости от месторождения, принятой горнотехнической системы, горного оборудования.
Это находит подтверждение в мировых аналитических изданиях, где параметром, определяющим состояние горного дела страны, экономического сообщества или географического региона, является количество (спектр) добываемых минералов. Для получения общей картины приведем диаграмму, отражающую распределение стран мира по количеству наименований добываемых минеральных продуктов (рис. 1).

Рис. 1. Распределение горнодобывающих стран по количеству видов добываемых минеральных продуктов.
Всего в мире насчитывается 166 горнодобывающих стран. Из них 107 стран добывают от 1 до 10 минералов, причем 18 из них добывают по одному минералу. 35 стран добывают от 10 до 20 минералов, 14 стран от 20 до 30, 7 - от 30 до 40 и 3 страны свыше 40 минералов.

Рис. 2. Распределение основных горнодобывающих стран по количеству видов добываемых минеральных продуктов
Из диаграммы следует, что в мире наблюдается тенденция концентрации горнодобывающей мощи по спектру добываемых минералов. В мире насчитывается всего 10 стран, каждая из которых добывает свыше 30 видов минералов. Данные, приведенные на рис. 2, свидетельствуют, что основными горнодобывающими державами мира являются Россия, Китай, США, Австралия, Бразилия, Индия, ЮАР, Канада, Иран и Мексика. Впервые приведенные данные по азиатской части России свидетельствуют, что этот регион играет большую самостоятельную роль в международной системе оборота минеральных ресурсов.
Горнопромышленным комплексом азиатской части России добывается 33 вида минерального сырья. Поскольку минерально-сырьевая база региона обладает уникальными характеристиками по количеству разведанных месторождений полезных ископаемых, их потенциальным возможностям, близости к сложившимся мировым рынкам потребления минерального сырья и т. п., то роль региона в развитии горного дела в мировом масштабе, бесспорно, будет возрастать в текущем столетии.
На рис. 3 представлено распределение 20 стран по удельным объемам добычи минералов. Удельная оценка стран по добыче минерального сырья показывает, что происходит некоторое перераспределение, в том числе и в тройке лидеров горного дела: теперь 1-3-е места принадлежат США, Китаю и России соответственно. Эти три страны добывают фактически 41 % от всего объема извлекаемых из земной коры минеральных продуктов. Первая десятка горнодобывающих стран формирует 63,8 % мирового объема добычи минералов, в том числе 87,1 % - черных металлов, где лидирует Бразилия (28,9 % добычи); 61,1 % - цветных металлов, где лидирует Австралия (31 % добычи); 43,7 % добычи драгоценных металлов, где лидирует также Австралия (11 % добычи); 62% - энергетических минералов, где лидирует США (17 % добычи).

Рис. 3. Удельные объемы добычи минералов в ведущих горнодобывающих странах мира
В удельных показателях азиатская часть Российской Федерации также представляет собой достаточно весомую составляющую в мировой добыче минеральных продуктов - 2,8 %, опережая такие горнодобывающие державы, как ЮАР, Иран, Мексика и Бразилия. Таким образом, положение России в горнодобывающем мире в целом является значительным и весьма стабильным, а ее азиатские регионы более чем на треть формируют общий объем добываемых минеральных продуктов в стране. Какова же роль минерально-сырьевого комплекса России в формировании всего промышленного потенциала, роль отдельных классов минеральных продуктов во всем минерально-сырьевом комплексе, а также в экономике страны и отдельных регионов? Ответы на эти вопросы могут послужить основой для выработки стратегических решений в сфере развития горного дела и его компонентов.
Определим два класса минеральных продуктов, коренным образом различающихся по технологии их добычи: нефть и газ; твердые полезные ископаемые. Выделение этих двух классов обусловливается тем, что в России несколько десятилетий назад произошло разделение горного и нефтегазового дела. В результате такого деления в настоящее время хорное дело как сфера деятельности человека в земной коре реализуется в основном в добыче твердых полезных ископаемых. Однако мы часто можем наблюдать взаимное заимствование научных и технологических решений при добыче минерального сырья упомянутых классов (добыча тяжелой нефти шахтным способом, технологии выщелачивания и т. п.).
Сравнительный анализ объемов производства в стоимостном выражении в минерально-сырьевом комплексе России, а также в ее азиатских регионах за 2004 г. представлен на рис. 4.

Рис. 4 Сравнительный анализ объемов производства в минерально-сырьевом комплексе России и федеральных округов в 2004 г.
Приведенные данные показывают, что в стоимостном выражении ведущую роль в объеме производства минерально-сырьевого комплекса РФ играют нефть и газ, а большая часть этого производства сосредоточена в Уральском федеральном округе. В то же время в Сибирском и Дальневосточном федеральных округах производство твердых полезных ископаемых в значительной степени превосходит производство нефти и газа. Возникает парадокс: доля производства обоих классов минерального сырья в приведенных трех федеральных округах составляет фактически одну и ту же цифру - 70 % от соответствующего производства во всей стране.

Рис. 5 Вклад минерально-сырьевого комплекса России и федеральных округов азиатской части
Учитывая известные показатели объемов промышленного производства в Российской Федерации и федеральных округах, приведем диаграмму, отражающую долевой вклад минерально-сырьевого комплекса в объем промышленного производства в 2004 г. (рис. 5). Анализ данных, приведенных на рис. 5, позволяет сделать следующие выводы: минерально-сырьевой комплекс страны обеспечивает 22,4 % от объема промышленного производства, при этом добыча твердых полезных ископаемых составляет 4,4 % от объема промышленного производства в стране; в Уральском и Дальневосточном федеральных округах минерально-сырьевой комплекс играет ведущую роль в формировании объемов промышленного производства.
Для того чтобы отобразить структуру промышленного производства в стоимостном выражении по отдельным видам минеральных продуктов, приведем данные по каменному (рис. 6) и бурому (рис. 7} углю, а также металлическим рудам (рис. 8). Приведенные статистические данные, отражающие состояние горного дела в России и ее азиатской части, роль горного дела в промышленном производстве регионов, свидетельствуют, что потенциал предприятий горнопромышленного комплекса Урала, Сибири и Дальнего Востока практически сформирован, обеспечивает потребности страны в минеральном сырье и играет большую роль в ее экономической политике.

Рис. 6 Структура промышленного производства каменного угля в России и федеральных округах
в стоймостном выражении
Трудовые ресурсы минерально-сырьевого комплекса России и ее азиатской части. Обеспечение рационального использования трудовых ресурсов для любой отрасли экономики является приоритетной социально-экономической задачей. Для ее решения требуется объективная комплексная оценка трудовых ресурсов в количественных и качественных показателях.
На предприятиях горнопромышленного комплекса, как и в других отраслях, трудовые ресурсы являются важнейшим элементом производственных сил, так как в значительной степени определяют темпы роста производства и производительности труда, качество продукции и другие показатели, отражающие успешность предприятия и его конкурентоспособность.

Рис. 7 Структура промышленного производства бурого угля России и Федеральных округах
в стоймостном выражении
Особенности технологических процессов и условия труда на горных предприятиях, безусловно, сказываются на формировании потенциала трудовых ресурсов. Во времена плановой советской экономики уделялось большое внимание эффективности использования трудовых ресурсов. Действовавшая система распределения специалистов различной квалификации позволяла восполнять в регионах недостатки в квалифицированной рабочей силе, технических и инженерных кадрах. Создавались социальная инфраструктура и среда, которые обеспечивали воспроизводство трудовых ресурсов. Именно эти аспекты играли и играют большую роль в формировании потенциала трудовых ресурсов сейчас, когда в условиях рыночной экономики большинство из вышеперечисленных направлений повышения эффективности использования трудовых ресурсов фактически отсутствует. Горные компании для формирования собственного кадрового потенциала производят набор работников на свободном рынке рабочей силы, выдвигая при этом определенные требования к уровню квалификации потенциального работника и предлагая условия оплаты труда, а также определенный уровень социальных гарантий. Основная особенность современных трудовых отношений между работодателем и работником заключается в стремлении работодателя максимально снизить издержки на непроизводственную инфраструктуру, отдав заботу о ней работникам (оплата социальных услуг: здравоохранение, образование и т. д.) или государству (органам власти).
Характерной чертой горной отрасли является наличие значительного числа горнодобывающих предприятий в отдаленных регионах, где эти предприятия являются, по сути, единственными промышленными предприятиями в регионах, где развитие инфраструктуры закончилось еще в советские времена, а также в регионах с тяжелыми климатическими условиями. Именно по этой причине на горных предприятиях в последние 10-15 лет стали широко применять вахтовые методы, заимствованные из опыта нефте- и газодобывающей промышленности. Известные развивающиеся горные компании Сибири и Дальнего Востока формируют свой кадровый потенциал за счет вахтовых работников из других регионов, где горная промышленность фактически сворачивается, а квалифицированные трудовые ресурсы не востребованы. Такие условия формирования трудовых ресурсов, очевидно, скажутся на воспроизводстве и качестве трудовых ресурсов для нужд горнопромышленного комплекса.
Анализ фактически используемых трудовых ресурсов в минерально-сырьевом секторе Российской Федерации проводился с выделением регионов азиатской части страны, а также по отдельным компонентам добывающей промышленности. Потенциальные трудовые ресурсы не рассматривались.
На рис. 9 приведена диаграмма, отражающая количественную оценку фактических трудовых ресурсов минерально-сырьевого сектора экономики страны на конец 2004 г. В настоящее время в минерально-сырьевом секторе России занято 1.064.900 человек. 29,07 % от этой части трудится на территории Уральского федерального округа, 22,73 % - Сибирского федерального округа, 10,05 % - Дальневосточного федерального округа, 38,15 % - в остальных федеральных округах Российской Федерации.
Для выделения сегмента трудовых ресурсов, занятых в добыче твердых полезных ископаемых, представим результаты анализа занятости фактических трудовых ресурсов в этом виде экономической деятельности (рис. 10). Данные, приведенные на диаграмме, показывают, что в России в добыче твердых полезных ископаемых занято 57,09 % от всех фактических трудовых ресурсов минерально-сырьевого комплекса (данные на конец 2004 г.).
Почти 38 % трудовых ресурсов, занятых в добыче твердых полезных ископаемых, сконцентрировано в Сибирском федеральном округе, 15,6 % в Дальневосточном федеральном округе, 12 % в Уральском федеральном округе.
При сопоставлении данных двух диаграмм (рис. 4 и рис. 10), напрашивается очевидный вывод о большей трудоемкости добычи твердых полезных ископаемых по сравнению с нефтегазовой добычей. В среднем за 2004 г. по России на долю одного человека, занятого в добыче нефти или газа, пришлось произведенной продукции на 3727 тыс. р., а на одного человека, занятого в добыче твердых полезных ископаемых, - 688,9 тыс. р. В Дальневосточном федеральном округе на долю одного человека, занятого в добыче твердых полезных ископаемых, в 2004 г. произведено продукции на 1335 тыс. р., в Уральском федеральном округе - 360 тыс. р., Сибирском федеральном округе - на 600 тыс. р.

Рис. 8
Приведенные на диаграммах показатели и некоторые полученные на их основании результаты могут иметь вполне логичное объяснение. Прежде всего, извлечение твердых полезных ископаемых в отличие от нефтегазовой добычи имеет принципиальные технологические особенности. Так, добыча твердых полезных ископаемых всегда сопровождается необходимостью создания специализированных технологических комплексов (шахт, рудников, карьеров, разрезов, обогатительных фабрик и т. п.) с высокой капиталоемкостью. Решение этих задач требует привлечения значительного объема трудовых ресурсов, что и является источником повышенных трудозатрат в данном секторе добывающей промышленности. Это объясняет превышение фактических трудовых ресурсов в секторе добычи твердых полезных ископаемых над трудовыми ресурсами в других секторах минерально-сырьевого комплекса.
Расхождения в количестве произведенной продукции на долю одного работника в федеральных округах обусловливаются специфическими особенностями месторождений полезных ископаемых. В Дальневосточном федеральном округе сконцентрированы основные месторождения высоколиквидного и дорогостоящего минерального сырья. Этим и объясняется превышение указанных показателей в несколько раз. Чтобы отразить структуру фактических трудовых ресурсов в секторах, связанных с добычей отдельных видов твердого минерального сырья, произведем некоторую группировку исходя преимущественно из принципа его окончательного использования в промышленности. Для упрощения выделим следующие базовые классы:
- 1. Твердые полезные ископаемые, добываемые в основном для нужд традиционной энергетики страны (каменный уголь, бурый уголь, торф и процессы их обогащения и агломерации).
- 2. Металлические руды (железные руды и руды цветных металлов).
- 3. Урановые и ториевые руды.
- 4. Минеральное сырье для индустрии строительных материалов (гравий, глина, песок, камень и т. п.).
На рис. 11, а-г приведены диаграммы, отражающие структуру распределения фактических трудовых ресурсов по выделенным классам. Подобная структура распределения трудовых ресурсов во многом объясняется географией крупных месторождений соответствующего сырья. Однако исходя из рис. 11, г, можно сделать вывод о том, что Дальневосточный федеральный округ не обладает достаточными фактическими трудовыми ресурсами для развития добычи минерального сырья для индустрии строительных материалов (песка, гравия, щебня, глины, камня и т. д.). Такая ситуация наверняка будет сказываться на развитии инфраструктуры регионов этого федерального округа.

Рис. 9. Диаграмма распределения фактических трудовых ресурсов минерально-сырьевого комплекса экономики страны с выделением федеральных округов азиатской части
Определенный интерес представляет динамика фактических трудовых ресурсов на протяжении последних 20 лет. На рис. 12 приведены зависимости, отражающие эту динамику.
Как следует из представленных зависимостей, экономические преобразования в стране коренным образом отразились на перераспределении фактических трудовых ресурсов. В целом промышленность России потеряла почти 40 % своих фактических трудовых кадров. Следует отмстить, что секторы промышленности, в основе которых лежит минерально-сырьевая база, не потеряли своего потенциала, за исключением угольной промышленности, а такие отрасли, как энергетика и нефтедобывающая промышленность, значительно увеличили численность своих фактических трудовых ресурсов. Это обусловлено, прежде всего, устойчивым положением этих отраслей, относительно высоким и стабильным уровнем оплаты труда работников.
Обеспеченность минерально-сырьевого комплекса страны инженерными кадрами. В предыдущем разделе был проведен количественный анализ фактических трудовых ресурсов в минерально-сырьевом секторе промышленности России, однако наряду с количественными оценками необходимы и качественные. Качество трудовых ресурсов является одним из ведущих факторов при оценке инвестиционной привлекательности регионов. Общепринятая практика свидетельствует о том, что критерием оценки качества трудовых ресурсов является их образовательный уровень. Так, при оценке региональной инвестиционной привлекательности часто используют показатель качества трудовых ресурсов, определяемый как процент населения, имеющего полное среднее образование.
Использование такого критерия для оценки качества фактических трудовых ресурсов отрасли не отражает истинного показатели качества, так как неучтенной оказывается профессиональная подготовка работников отрасли. Поэтому для подобной оценки наиболее рациональным является использование показателя, отражающего процент лиц, работающих в данной отрасли и имеющих высшее профессиональное образование.
Такой показатель не поддается прямому учету и исследованиям (в том числе выборочным) органами государственной статистики. Поэтому установим основные показатели качества факгических трудовых ресурсов минерально-сырьевого комплекса при использовании доступных результатов всероссийской переписи населения (рис. 13). Данные, приведенные на диаграмме, показывают, что минерально-сырьевой комплекс Центрального федерального округа максимально обеспечен инженерными кадрами. Практически каждый четвертый работник имеет высшее профессиональное образование. Такая ситуация является следствием ряда причин.
3. Высокий уровень концентрации аппаратов управления и представительств горнодобывающих компаний и фирм России, ведущих добычу минеральных ресурсов в регионах страны.

Рис. 11. Структура распределения фактических трудовых ресурсов, занятых в добыче каменного угля, бурого угля, торфа и в процессах их обогащения и агломерации (а); металлических руд (б); урановых и ториевых руд и в процессах их обогащения (в); минерального сырья для индустрии строительных материалов (г)
Минимальный уровень обеспеченности инженерными кадрами наблюдается в Сибирском федеральном округе. Это явление тоже вполне объяснимо. Несмотря на то, что в регионе находятся сложившиеся центры высшего горного образования (Кузбасский государственный технический университет, Красноярский государственный университет цветных металлов и золота, Сибирский государственный индустриальный университет), выпускающие в год более 1000 горных инженеров, они не могут покрыть потребности в квалифицированных инженерных кадрах для нужд региональной горной промышленности. Кроме того, интенсивное развитие филиальной сети в университетах Кемеровской области (11 филиалов), в которых уже в 2004 г. по некоторым горным специальностям в филиалах обучалось больше студентов, чем в головном вузе, негативно сказывается на качестве подготовки горных инженеров, которые даже после окончания вуза не могут быть полноценно востребованы на рынке квалифицированных кадров отрасли. Сопоставление полученных данных об обеспеченности минерально-сырьевого комплекса России инженерными кадрами с данными о занятости населения в отдельных отраслях минерально-сырьевого комплекса позволяет получить сведения о количестве работающих горных инженеров в России (рис. 14).

Рис. 12. фактических трудовых ресурсов в промышленности России в период с 1980 по 2004 г.: а - электроэнергетика (1); нефтедобывающая промышленность (2); угольная промышленность (3), черная металлургия (4); цветная металлургия (5); 6 - промышленность РФ (б); машиностроение (7)
- 1) расхождения между статистическими данными переписи населения и статистическими данными по занятости населения в определенном виде экономической деятельности;
- 2) состава категорий видов экономической деятельности, включенных в оценку кадрового потенциала;
- 3) системы допущений, принятых при оценке кадрового потенциала.
Одним из источников погрешности являются краткосрочные миграционные потоки фактических трудовых ресурсов (вахтовые методы). Эта погрешность практически не сказывается на общих показателях в масштабах страны, а только отражает перераспределение фактических трудовых ресурсов между регионами. Два других источника погрешности в основном компенсируют друг друга, так как в исследованиях использовался только один вид экономической деятельности - добыча полезных ископаемых. Безусловно, существуют другие виды экономической деятельности, в которых горное дело является одним из компонентов: "деятельность метрополитенов"; "сооружение мостов и тоннелей" и другие элементы Общероссийского классификатора видов экономической деятельности. Количественные оценки этих компонентов пока не проводились. С другой стороны, система допущений предусматривает строгое выполнение очевидных требований к инженерному корпусу горных предприятий - наличие высшего горного образования, полученного в качестве базового или второго высшего образования. Это условие не исключает работу на горных предприятиях специалистов, имеющих высшее образование в смежных отраслях (экономике, управлении, энергетике и т. д.). Анализ основывался на допущении о равенстве условных "профессиональных миграционных потоков" горных инженеров в смежные отрасли и инженеров из смежных отраслей в горное дело.
Для анализа ситуации в федеральных округах необходимо проанализировать эффективность системы высшего горного образования в регионах страны.

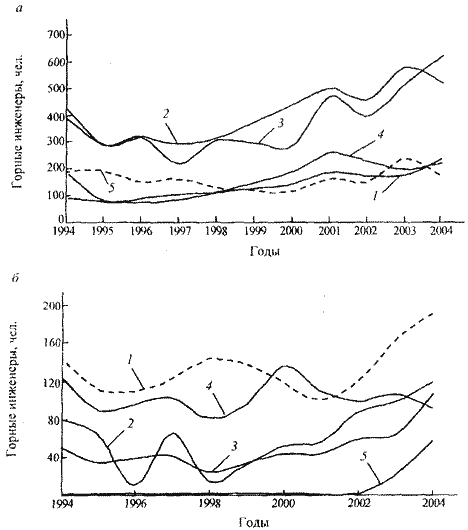
Рис. 14. Диаграмма распределения корпуса горных инженеров России с выделением федеральных округов азиатской части страны

Рис. 15. по федеральным округам азиатской части России за 1994-2004 гг.
Подготовка горных инженеров на Урале, в Сибири и на Дальнем Востоке России. Основу системы подготовки горных инженеров в Уральском, Сибирском и Дальневосточном федеральных округах составляют университетские центры, реализующие программы подготовки специалистов по направлению "Горное дело", обучение по которым в соответствии с действующим образовательным стандартом завершается присуждением квалификации горного инженера

.Рис. 16. Выпуск горных инженеров в ведущих вузах Урала, Сибири и Дальнего Востока в 2004 г.: а - МГТУ (1); УГГУ (2); КузГТУ (3); ГУЦМиЗ (4); ИрГТУ (5); б - СибГИУ (1); ЧитГУ (2); ЯГУ (3); ДВГТУ(7);ТихоокГУ(5)
Подготовка горных инженеров осуществляется по семи основным специальностям:
- 130401. Физические процессы горного или нефтегазового производства;
- 130402. Маркшейдерское дело;
- 130403. Открытые горные работы;
- 130404. Подземная разработка месторождений полезных ископаемых;
- 130405. Обогащение полезных ископаемых;
- 130406. Шахтное и подземное строительство;
- 130408. Взрывное дело, направление "Горное дело", а также по специальности
- 150402. Горные машины и оборудование (направление "Технологические машины и оборудование").
Высшее горное образование развивается в 13 университетах и 15 филиалах. В Уральском федеральном округе: в Уральском государственном горном университете; Магнитогорском государственном техническом университете. В Сибирском федеральном округе: в Государственном университете цветных металлов и золота (филиал в г. Ачинске); Кузбасском государственный" техническом университете (филиалы в городах Анжеро-Судженск, Белово, Прокопьевск, Междуреченск, Таш-тагол); Сибирском государственном индустриальном университете (филиалы в городах Междуреченск, Осинники, Прокопьевск, Таштагол); Иркутском государственном техническом университете; Читинском государственном университете; Норильском государственном индустриальном институте; Томском политехническом университете (только в филиале ТПУ в г. Юрга - Юргинском технологическом институте). В Дальневосточном федеральном округе: в Дальневосточном государственном техническом университете (филиал в г. Дальнегорске), Якутском государственном университете (филиалы в городах Мирном и Нерюнгри); Тихоокеанском государственном университете (бывший Хабаровский государственный технический университет); Северном международном университете (г. Магадан).
Общий выпуск горных инженеров за последние 11 лет (с 1994 по 2004 г.) в этих университетах составил 18 055 человек. Ниже приведены данные по выпуску горных инженеров за указанный период в университетах рассматриваемых округов. Московский государственный открытый университет имеет филиал в г. Прокопьевске.
| Высшее учебное заведение | Выпуск горных инженеров, чел. |
|---|---|
| Уральский государственный горный университет | 4500 |
| Кузбасский государственный технический университет | 4100 |
| Государственный университет цветных металлов и золота | 1820 |
| Иркутский государственный технический университет | 1770 |
| Магнитогорский государственный технический университет | 1480 |
| Сибирский государственный индустриальный университет | 1450 |
| Дальневосточный государственный технический университет | 1130 |
| Читинский государственный университет | 680 |
| Якутский государственный университет | 540 |
| Норильский индустриальный институт | 490 |
| Тихоокеанский государственный университет (г. Хабаровск) | 78 |
| Северный международный университет (г. Магадан) | 17 |
| Томский политехнический университет | 0 |
| Справочно | |
| Московский государственный горный университет | 4000 |
| Санкт-Петербургский государственный горный институт | 3830 |
| Пермский государственный технический университет | 750 |
Наибольший вклад в формирование корпуса горных инженеров азиатской части России внесли Уральский государственный горный университет и Кузбасский государственный технический университет (47,6 % от общего объема выпуска по всем вузам азиатской части РФ).
Результаты количественной оценки структуры выпуска горных инженеров по федеральным округам азиатской части России за 1994-2004 гг. представлены на рис. 15. Таким образом, подготовка горных инженеров за указанный период сконцентрировалась в Уральском и Сибирском федеральных округах, где выпущено фактически 45 % горных инженеров от их общего выпуска в стране.
На рис. 16, а, б приведены зависимости, отражающие выпуск горных инженеров в вузах федеральных округов азиатской части России. Характер этих зависимостей свидетельствует об устойчивом росте выпуска горных инженеров практически во всех анализируемых федеральных округах. В 2004 г. в Уральском федеральном округе было выпущено 755, в Сибирском федеральном округе - 1390, а в Дальневосточном федеральном округе - 273 горных инженеров. Сравнение этих данных с данными, отражающими потребность рассматриваемых федеральных округов в горных инженерах, позволяет сделать следующие выводы:
- 1. В Сибирском федеральном округе выпуск в вузах соответствует потребности в горных инженерах на предприятиях при современном уровне развития горного дела.
- 2. В Уральском федеральном округе выпуск в вузах несколько превышает потребность в горных инженерах на производстве.
- 3. Дальневосточный федеральный округ испытывает острый недостаток в горных инженерах. Очевидно, что горные предприятия этого округа для комплектования своего инженерного корпуса используют аналогичные ресурсы из других отраслей промышленности или из других регионов.

Рис. 17. Отношение числа студентов горных специальностей, обучающихся в филиалах, к числу студентов, обучающихся в головном университете
Необходимо обратить внимание на то, что данные выводы сделаны на основе усредненных значений обеспеченности инженерными кадрами федеральных округов, а также при условии современного состояния горной промышленности. Это не исключает наличия или возникновения потребности в горных инженерах в конкретных областях или городах, но в определенной степени эти выводы могут указать на источники формирования необходимых трудовых ресурсов (внутренние или внешние).
Зависимости, приведенные на рис. 16, отражают значительные темпы роста подготовки горных инженеров, В некоторых вузах показатели выпуска за последние пять лет фактически удвоились (Кузбасский государственный технический университет, Уральский государственный горный университет, Якутский государственный технический университет, Читинский государственный университет). Причины подобной динамики:
- 1. Широкое распространение в некоторых вузах филиальной сети.
- 2. Интенсивное внедрение ускоренных программ подготовки горных инженеров для лиц, имеющих среднее профессиональное образование соответствующего профиля.
- 3. Увеличение контингента студентов, обучающихся на платной основе.
Эти выводы подтверждаются диаграммой, которая отражает отношение числа студентов горных специальностей, обучающихся в филиалах, к числу студентов горных специальностей, обучающихся в головном университете (рис. 17). Показатели на диаграмме выражены в процентах.
Так, в Кузбасском государственном техническом университете и Якутском государственном университете количество студентов горных специальностей, обучающихся в филиалах, значительно больше, чем аналогичное количество студентов в головном вузе. Количественные характеристики филиальной подготовки в этих университетах существенно различаются: на конец 2004 г. в Якутском государственном университете в филиалах обучается 710 студентов, в Кузбасском государственном техническом университете - 2330 студентов, в Сибирском государственном индустриальном университете - 659 студентов, Красноярском государственном университете цветных металлов и золота - 137 студентов.

Рис. 18. , Процент студентов горных специальностей обучающихся в филиалах вузов Сибирского, Уральского и Дальневосточного федеральных округов за счет средств государственного бюджета
На рис. 18 приведена диаграмма, отражающая долю студентов горных специальностей, обучающихся в филиалах вузов Сибирского, Уральского и Дальневосточного федеральных округов за счет средств государственного бюджета. Таким образом, в трек университетах (Кузбасском государственном техническом университете, Сибирском государственном индустриальном университете. Государственном университете цветных металлов и золота) на горных специальностях абсолютное большинство студентов обучается не за счет средств государственного бюджета. Экспертные оценки УМО по образованию в области горного дела свидетельствуют, что оплата договоров на обучение в этих вузах в основном осуществляется физическими лицами, т. е. производственные предприятия в регионах практически не оплачивают подготовку специалистов. Учебно-методическое объединение вузов РФ по образованию в области горного дела обращает также внимание на то, что по некоторым горным специальностям в филиалах в планах приема на первый курс заложены единицы бюджетных мест. Практика выделения на обучение 0-5 бюджетных мест достаточно широко распространена. Такие условия формирования контингента студентов горных специальностей негативно сказываются на качестве подготовки будущих горных инженеров. В филиалах вузов, где основной контингент студентов-горняков обучается на платной основе, качество обеспечения учебного процесса остается на низком уровне. В учебно-лабораторных комплексах широко используется устаревшая база средних специальных и общеобразовательных учебных заведений, библиотеки слабо комплектуются необходимыми учебными и периодическим изданиями, наличие которых предусматривается государственными образовательными стандартами и т. п. Причиной является слабая экономическая база при организации платной подготовки горных инженеров. В стоимость обучения не вкладываются расходы на развитие образовательных ресурсов.
Мы остановились лишь на части проблем филиальной подготовки горных инженеров. УМО по образованию в области горного дела и в дальнейшем будет отражать эти (или подобные) проблемы филиальной подготовки горных инженеров. Приведенный материал является одним из результатов планомерно проводимых в Учебно-методическом объединении исследований в сфере всего высшего горного образования и его филиального компонента в частности. В ближайших планах УМО -составление аналитической записки по проблемам подготовки горных инженеров в филиалах вузов страны, в которой более детально будут отражены материалы этой статьи. Такое внимание к филиальной подготовке горных инженеров объясняется увеличением ее доли в высшем горном образовании и большим влиянием на качество формирования корпуса горных инженеров.
Для вскрытия структуры высшего горного образования азиатской части России приведем диаграммы, в которых отражается распределение контингента студентов в вузах федеральных округов по горным специальностям (рис. 19). Использование показателя, количественно характеризующего контингент студентов горных специальностей, дает возможность оценить выпуск горных инженеров по этим специальностям в предстоящие 5-6 лет (с учетом потенциального отсева).
Анализ данных, приведенных на диаграмме, показывает, что в Сибирском федеральном округе высшее горное образование формируется в основном в рамках трех специальностей - "Подземная разработка месторождений полезных ископаемых", "Открытые горные работы", "Горные машины и оборудование". В Уральском федеральном округе доминирующее число студентов обучается на специальности "Горные машины и оборудование", а общее количество студентов специальностей "Подземная разработка месторождений полезных ископаемых", "Открытые горные работы", "Обогащение полезных ископаемых" составляет практически 46 % и почти равномерно распределено между этими специальностями. В Дальневосточном федеральном округе половина студентов обучается на специальности "Открытые горные работы", что объясняется развитием одноименного компонента горного дела в регионе. УМО по образованию в области горного дела уделяет большое внимание комплексной оценке деятельности вузов, ведущих подготовку горных инженеров. Реализуемую государственными органами управления в системе высшего образования всестороннюю оценку вузовских комплексов можно разделить на две группы:
- 1. Комплексная оценка при проведении процедур аттестации, лицензирования и аккредитации.
- 2. Система рейтинговых оценок университетов.
Комплексную оценку при проведении процедур аттестации, лицензирования и аккредитации вузы проходят самостоятельно с определенной периодичностью или по мере развития образовательных программ. Результаты таких комплексных оценок, как правило, не являются публичными.
Система рейтинговых оценок вузов Министерства образования и науки является единственным официальным инструментом сравнения деятельности университетов, определения направления их развития и совершенствования. При формировании рейтинга Министерство образования и науки использует 41 показатель деятельности высшего учебного заведения. Эти показатели разделены на следующие группы: качественная и количественная характеристика профессорско-преподавательского состава, работающего на штатной основе; качественная и количественная характеристика профессорско-преподавательского состава работающего на основе совместительства; количественная характеристика студентов и аспирантов; показатели по подготовке научных и научно-педагогических кадров высшей квалификации; объем научных исследований; издательская деятельность; характеристика бюджетных ассигнований и основных фондов; характеристика внебюджетных поступлений (передача денежных средств); характеристика социальной базы (общежития, столовые, спортивные сооружения, профилактории). В окончательном рейтинге вузы классифицируются по категориям в зависимости от направления их образовательной деятельности. Так как высшее горное образование развивается в рамках двух типов вузов - "технические и технологические вузы"; "классические университеты", приведем рейтинговые показатели основных горных вузов страны за 2002 и 2003 г.

Рис. 19. Распределение контингента студентов горных специальностей по федеральным округам: а - Сибирский федеральный округ, б - Уральский; a - Дальневосточный
| Высшее учебное заведение | Занимаемое меcто | |
|---|---|---|
| 2002 | 2003 | |
| Технические и технологические университеты (174 вуза) | ||
| Московский государственный горный университет | 3 | 2 |
| Санкт-Петербургский государственный горный институт | 2 | 4 |
| Московский государственный геологоразведочный университет | 14 | |
| Южно-Российский государственный технический университет | 21 | 21 |
| Пермский государственный технический университет | 30 | |
| Дальневосточный государственный технический университет | 63 | 59 |
| Иркутский государственный технический университет | 69 | |
| Тихоокеанский государственный технический университет (г. Хабаровск) | 90 | 89 |
| Магнитогорский государственный технический университет | 110 | |
| Кузбасский государственный технический университет | 114 | 123 |
| Сибирский государственный индустриальный университет | 121 | 132 |
| Уральский государственный горный университет | 116 | 135 |
| Государственный университет цветных металлов и золота | 145 | 162 |
| Норильский государственный индустриальный университет | 164 | 169 |
| Классические университеты (86 вузов) | ||
| Тульский государственный университет | 21 | 26 |
| Якутский государственный университет | 45 | 50 |
| Читинский государственный университет | 76 | 76 |
Результаты рейтинга в определенной степени отражают характер развития экономики страны. Ведущие горные вузы занимают практически лидирующие позиции в рейтинге (пропуская вперед фактически только МВТУ им. Н. Э. Баумана). С другой стороны, значительное число горных вузов, играющих важную роль в формировании региональных горных кадров, отброшены на низкие позиции рейтинга. УМО по образованию в области горного дела обращает внимание вузов, ведущих подготовку горных инженеров в стране, на необходимость усиления работы над формированием рейтинговых показателей с целью повышения качества подготовки горных инженеров и престижа высшего горного образования.
В качестве заключения приведем решение Совета УМО*:
Учитывая всевозрастающую роль горного дела Урала, Сибири и Дальнего Востока в формировании промышленного потенциала страны, Совет УМО вузов РФ по образованию в области горного дела постановляет:
1. Высшим учебным заведениям Сибири и Дальнего Востока России, ведущим подготовку горных инженеров, обратить внимание на необходимость принятия срочных мер, направленных на повышение качества подготовки горных инженеров, таких, как укрепление и формирование соответствующих научно-педагогических школ, формирование учебно-лабораторных комплексов, оснащенных на современном научно-техническом уровне, обеспечение необходимой качественной практической подготовки, - издание и закупка необходимой учебной литературы для подготовки горных инженеров.
2. Вузам (Сибирскому государственному индустриальному университету, Кузбасскому государственному техническому университету, Государственному университету цветных металлов и золота, Якутскому государственному университету, Дальневосточному государственному техническому университету), реализующим подготовку горных инженеров в филиальной сети, обеспечить контроль качества подготовки специалистов в филиалах, обеспечить достаточное количество бюджетных мест с соответствующим финансированием. Считать недопустимым отсутствие бюджетного финансирования в филиале вуза на специальностях подготовки горных инженеров.
3. Считать нецелесообразной реализацию программ подготовки горных инженеров в филиалах вузов с неполным циклом обучения.
4. Поручить Учебно-методическому объединению вузов РФ по образованию в области горного дела дать свои предложения в Федеральную службу по надзору в сфере образования по реализации процедуры лицензирования филиалов вузов.
5. Полностью исключить подготовку горных инженеров с использованием системы представительств как нелицензионного вида образовательной деятельности.
6. Рекомендовать высшим учебным заведениям привлекать и использовать в учебном процессе подготовки горных инженеров ресурсы отраслевых и академических институтов и центров. Организовывать и развивать совместные исследовательские и образовательные программы.
7. Поручить Учебно-методическому объединению вузов РФ по образованию в области горного дела обратиться в Федеральное агентство по образованию с просьбой об увеличении числа бюджетных мест и их финансирования на специальностях подготовки горных инженеров в вузах Дальнего Востока и Восточной Сибири.
*Совет Учебно-методического объединения вузов Российской Федерации по образованию в области горного дела, 6-8 июня 2005 г., Красноярск, Государственный университет цветных металлов и золота.
Л. А. ПУЧКОВ, В. Л. ПЕТРОВ Московский государственный горный университет.