Научно-исследовательским и конструкторским центром разработано методическое пособие по построению картин обзорности с рабочего места машиниста объектов преимущественного и периодического наблюдения с помощью системы автоматизированного проектирования AutoCAD
Период 1990–99 гг. являлся периодом кризисного развития народного хозяйства в целом, промышленности и тяжелого машиностроения в частности.
Корпорация Объединенные машиностроительные заводы (ОМЗ) в условиях экономической реформы не только сохранила номенклатуру выпускаемого оборудования, но и существенно ее расширила. Продукция корпорации отличается высоким качеством и находится на уровне мировых образцов. Одно из подразделений корпорации – фирма ОМЗ – Горное оборудование (ОМЗ–ГО) занимается разработкой и поставкой экскаваторов, дробильно-размольного оборудования и станков шарошечного бурения. Это надежное, доступное и эргономичное оборудование для горной промышленности производят Уралмашзавод и Ижорские заводы, входящие в состав Объединенных машиностроительных заводов.
Гусеничные экскаваторы ОМЗ отличаются высокой надежностью при эксплуатации в различных горно-геологических и климатических условиях. Однако конструкторы горного оборудования не останавливаются на достигнутом, постоянно совершенствуя и модернизируя существующую технику. В настоящее время ведутся разработки новой унифицированной модульной кабины для всего ряда гусеничных экскаваторов, что позволит снизить себестоимость ее изготовления при производстве за счет серийности и улучшить эргономические показатели рабочего места машиниста.

Одним из важных эргономических показателей экскаватора является коэффициент обзора из кабины машиниста-оператора. Качество обзорности и видимости с рабочего места машиниста экскаватора зависит от положения кабины относительно стрелы и кузова экскаватора, положения сидения машиниста в кабине, конфигурации оконных проемов, качества стекол, их своевременной очистки и обогрева, применения средств защиты глаз от ослепления солнечными лучами, исключения блеска.
Раньше обзорность определялась решением сложных математических выражений, которые были преобразованы в программу для ЭВМ на языке Фортран [1, 2]. Данная программа требовала огромного количества входных параметров и имела неудобный интерфейс, что отнимало много времени при работе с ней. Появление систем автоматизированного проектирования (AutoCAD, Solidedge, SolidWorks и т.п.) позволило упростить и повысить качество построения картин обзорности на стадии проектирования.
Научно-исследовательским и конструкторским центром разработано методическое пособие по построению картин обзорности с рабочего места машиниста объектов преимущественного и периодического наблюдения с помощью системы автоматизированного проектирования AutoCAD 2000 [4, 5]. На базе ортогональных чертежей экскаватора создается трехмерная модель, включающая объекты преимущественного и периодического наблюдения. К объектам преимущественного наблюдения относятся: рабочие положения ковша, стрелы, рукояти, транспорт и т.д. К объектам периодического наблюдения относятся: гусеницы, пульт управления, средства отображения информации и т.д.

В кабине машиниста при помощи координат задается условная точка взгляда для положения туловища машиниста, сидящего прямо, и при наклоне туловища вперед на 30°.
За начальную точку 0 трехмерной системы координат принимается точка пересечения оси вращения экскаватора (ось Z) и плоскости (XY) определенной как уровень стоянки.

Обзор объектов наблюдения выражается поверхностью или линией. За меру обзора каждого объекта наблюдения принимается коэффициент обзора КiО, изменяющийся от 0 до 1 [1–3]. Для каждого выбранного объекта строится картина обзорности. Коэффициент обзора поверхности или линии определяется как отношение площади поверхности или линии видимой части объекта к общей его площади или длине линии необходимого обзора [2]. Для точечных объектов, находящихся в поле зрения, коэффициент обзора равен 1, и вне поля зрения –0 [2].
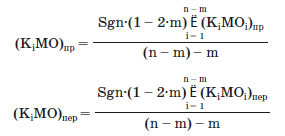
Оценка обзорности КО с рабочего места машиниста [2] выражается в виде дроби, в числителе которой коэффициент максимального обзора объектов преимущественного наблюдения (КiМО)пр, а в знаменателе – объектов периодического наблюдения (КiМО)пер.
Коэффициенты максимального обзора объектов преимущественного наблюдения и объектов периодического наблюдения определяются, соответственно, из выражений [2]:

где n, m – количество заданных и невидимых объектов наблюдения;
КiМОi – лучший обзор из точек в пределах физиологически рациональной позы для каждого объекта наблюдения.

На примере проектируемого фирмой «ОМЗ–ГО» гидравлического экскаватора ЭГО-150, параметры которого приведены на рис. 1, а техническая характеристика представлена в табл. 1, 2, построена трехмерная модель (рис. 2) и получены картины обзорности с рабочего места машиниста (рис. 4–7). Данный экскаватор является электрическим прототипом дизельного экскаватора ЭГО-4А. При построении картин обзорности правой гусеницы получен коэффициент обзора для любой рабочей позы равный 0, что не допустимо, так как при передвижении экскаватора машинисту необходимо видеть состояние грунта перед гусеницей. Чтобы добиться видимости передней кромки правой гусеницы, был рассмотрен ряд вариантов с внесением изменений в конструкцию сидения машиниста. На рис. 7 приведены картины обзорности правой гусеницы одного из вариантов (при изменении точки взгляда машиниста по оси Y на 0.4 м за счет перемещения сидения вперед). Такое технически простое решение увеличивает коэффициент обзора от 0 до 0.12.

В качестве объектов преимущественного наблюдения рассматривались три рабочих положения ковша, а в качестве объекта периодического наблюдения правая гусеница экскаватора.
Все значения коэффициентов обзора получены согласно рис. 4–7 и приведены в табл. 3.

Таким образом, построение картин обзорности на стадии проектирования позволяет качественно оценить достаточность видимости объектов преимущественного и периодического наблюдения и корректировать ее в процессе конструирования.
Н.Н.Груздева, Л.П.Хомякова, В.Г.Хусаинов, ОМЗ – Горное оборудование (ОМЗ–ГО)